I am a cosmologist with a strong background in particle theory. I work at the interface of cosmology, astrophysics, and particle physics, and am committed to addressing fundamental questions about the origin, composition, and fate of the Universe. I work to tie together theories and observations, and my day-to-day work spans from numerical computations to pen-and-paper calculations to getting my hands dirty on data (from cosmological data to black hole shadows to data from the Sun). This back-and-forth interplay between existing data, future experiments, and theory, represents my main research strength. My ultimate goal is to expose the identity of the dark sectors of the Universe, and unlock the secrets of fundamental physics using data collected from the deepest and darkest corners of the Universe. Because of the intrinsic breadth in the problems I tackle, my research is difficult to place in a simple box. Below is a semi-technical description of my main research topics. For more technical details please visit the Publications section of my website.


neutrino cosmology

Posterior distributions on the neutrino mass sum from combinations of various state-of-the-art cosmological datasets as of early 2017, including measurements of the power spectrum of BOSS DR12 galaxies and CMB measurements from the Planck 2015 data …

Posterior distributions on the neutrino mass sum from combinations of various state-of-the-art cosmological datasets as of early 2017, including measurements of the power spectrum of BOSS DR12 galaxies and CMB measurements from the Planck 2015 data release. Source: Vagnozzi et al., Phys. Rev. D 96 (2017) 123503

I work towards extracting more robust limits on the neutrino mass sum and mass ordering using state-of-the-art data from cosmological surveys, exploiting the subtle signs imprinted by neutrino masses on cosmological observations. Our limits on the neutrino mass scale mildly favor the normal ordering and have been quoted in the Review of Particle Physics. I am also investigating novel probes of neutrino properties, science goals one might pursue from a detection of the Cosmic Neutrino Background, and the interplay between cosmological and laboratory data in probing standard and sterile neutrino properties.


dark matter

The accumulation of DM in the Earth by self-interactions can partially shield a detector located in the Southern hemisphere, leading to an appreciable diurnal modulation signal in the event rate seen by direct detection experiments (in the figure th…

The accumulation of DM in the Earth by self-interactions can partially shield a detector located in the Southern hemisphere, leading to an appreciable diurnal modulation signal in the event rate seen by direct detection experiments (in the figure this is shown for a detector located in the Stawell mine in Australia). Source: Foot & Vagnozzi, Phys. Lett. B 748 (2015) 61

I have constructed particle models for DM featuring novel types of self-interactions which can address shortcomings of the leading collisionless cold DM paradigm on small scales, and predicted signatures of these models in cosmological and astrophysical observables and direct detection experiments. I am also interested in how DM captured within the Sun might alter the behavior of our star and possibly address a few puzzling aspects of solar physics (such as the solar abundance problem). In principle DM might be the manifestation of a breakdown of General Relativity: I have worked along this direction, in particular within so-called mimetic gravity.


dark energy

Did XENON1T detect dark energy? Source: Vagnozzi et al., Phys. Rev. D 104 (2021) 063023

Did XENON1T detect dark energy? Source: Vagnozzi et al., Phys. Rev. D 104 (2021) 063023, winner of the 2021 Buchalter Cosmology Prize (third prize)

I am interested in searching for dark energy (DE) off the beaten track. This has brought me to explore connections between DE and the neutrino mass ordering, study ways to search for DE if it interacts strongly with ordinary matter, and examine the possibility of probing DE using gravitational waves or the 21-cm signal. I am interested in models with more complex DE sectors (such as models where DM and DE interact) and in whether these might solve some of the persisting cosmological tensions. I have also investigated how DE might emerge from a breakdown of General Relativity, for instance within mimetic gravity, Horndeski gravity, and Hořava–Lifshitz gravity. Finally, I have led the first investigations into the possibility of DE direct detection in DM direct detection experiments such as XENON1T.


large-scale structure

Impact of an improper treatment of galaxy bias in the presence of massive neutrinos. Source: Vagnozzi et al., JCAP 1809 (2018) 001

Impact of an improper treatment of galaxy bias in the presence of massive neutrinos. Source: Vagnozzi et al., JCAP 1809 (2018) 001

I use the clustering of the Large-Scale Structure (LSS) of the Universe to learn about various aspects of fundamental physics, including the masses of neutrinos, light relics, dark energy, and so forth. I have worked in particular with galaxies from the BOSS survey, and have developed various codes to manipulate these catalogues (and in principle any LSS catalogue), publicly available on Github. Using the LSS data requires carefully accounting for several systematics, and I have investigated a few of these in my research: in particular, systematics related to an incomplete knowledge or treatment of galaxy bias, especially in the presence of massive neutrinos.


cosmic microwave background

Consistency test of the ΛCDM model from the amplitude of the early ISW effect in the CMB. Source: Vagnozzi, Phys Rev. D 104 (2021) 063524

I make use of Cosmic Microwave Background (CMB) measurements (often in combination with LSS data) to learn about fundamental physics, including neutrino masses, inflationary models, dark matter, dark energy and its possible non-standard properties, new physics at early times in relation to the Hubble tension, model-agnostic tests for new physics, and so on. Aside from combining CMB and LSS data, I have also been working on cross-correlations between the two, which can be very useful to obtain a better handle on various parameters, such as the (scale-dependent) galaxy bias.


cosmological tensions

The Hubble tension may call for a combination of new physics at early and late times, and on local scales. Source: Vagnozzi, Universe 9 (2023) 393

As cosmological measurements become more precise, small hints of tensions between high- and low-redshift datasets start to appear, including discrepancies in the expansion rate of the Universe or the late-time growth of structure. I am interested in exploring whether these tensions can be a sign for new physics beyond the concordance ΛCDM model, or whether they are just a sign of residual systematics, and how future measurements can distinguish between these two possibilities.


modified gravity

First constraints on a higher-order mimetic gravity model, from the multi-messenger gravitational wave observation GW170817. Source: Casalino, Rinaldi, Sebastiani & Vagnozzi, Class. Quant. Grav. 36 (2019) 017001

First constraints on a higher-order mimetic gravity model, from the multi-messenger gravitational wave observation GW170817. Source: Casalino, Rinaldi, Sebastiani & Vagnozzi, Class. Quant. Grav. 36 (2019) 017001

I have studied whether modifications to General Relativity can provide an explanation for dark matter, dark energy, or cosmic inflation, or possibly provide unified models for two or more of these. I have focused in particular on theories with extra scalar degrees of freedom or involving Lorentz violation, such as mimetic gravity, Horndeski gravity, f(R) gravity, and Hořava–Lifshitz gravity. I also test these models against precision cosmological and astrophysical data, including multi-messenger gravitational wave events, the 21-cm signal, and black hole shadows. I have worked significantly on mimetic gravity, where besides cosmological solutions I have also studied exotic objects such as wormholes.


cosmic inflation

Can the NANOGrav signal be the first ever detection of the stochastic gravitational wave background from inflation? Source: Vagnozzi, Mon. Not. Roy. Astron. Soc. Lett. 502 (2021) L11

Can the NANOGrav signal be the first ever detection of the stochastic gravitational wave background from inflation? Source: Vagnozzi, Mon. Not. Roy. Astron. Soc. Lett. 502 (2021) L11

I am interested in inflation both from a model-building viewpoint (especially in the context of modified gravity), as well as from the point of view of observations. For instance, I have studied whether the assumptions made concerning neutrinos can affect the conclusions drawn on inflationary parameters (and hence inflationary model comparison). I have also been interested in the impact of the so-called string swampland, the space of naïvely consistent effective field theories inconsistent with a stringy UV completion, on inflationary model-building. Finally, I am also examining the possibility of studying inflationary physics using gravitational wave observations at frequencies beyond those probed by the CMB.


gravitational waves

Detecting the stochastic background high-frequency GWs sourced by the primordial graviton background could rule out cosmic inflation. Source: Vagnozzi & Loeb, Astrophys. J. Lett. 939 (2022) L22

I am very interested in exploring how gravitational waves (GWs) can inform us about fundamental physics, on various different levels. I have studied how the multi-messenger GW event GW170817 can constrain not only modified gravity theories, but also models with extra space-time dimensions wherein gravity can leak (for instance the Randall-Sundrum brane-world extra dimensional model). I am also interested in the use of GWs as standard sirens to probe the expansion history of the Universe, and how these can improve our constraints on dark energy and its possible exotic interactions (such as interactions between dark energy and dark matter). I have also shown how detecting the stochastic background high-frequency GWs sourced by the primordial graviton background could rule out cosmic inflation.


black hole physics

Regimes of curvature and gravitational potential probed by various gravitational systems, including BH shadows. Source: Vagnozzi et al., Class. Quant. Grav. 40 (2023) 165007

The detection of the shadow of M87* by the Event Horizon Telescope has gotten me very interested in examining whether black hole (BH) shadows can be used to test fundamental physics. I have investigated whether the shadow of M87* can be used to probe new physics, for instance in the form of violations of the Kerr limit (as occurring in so-called superspinars), extra dimensions of space-time, non-linear corrections to the QED Lagrangian, BH mimickers such as wormholes and naked singularities, string-inspired space-times, and modified theories of gravity. I am also studying whether BH shadows can be used to test the existence of light bosons through the superradiance mechanism, or shed light on solutions to the information paradox.


observational tests of string theory

Regions in the ns-r “zoo plot” of inflationary models excluded by the string swampland criteria, for various values of the two order unity parameters. Source: Kinney, Vagnozzi & Visinelli, Class. Quant. Grav. 36 (2019) 117001

Regions in the ns-r “zoo plot” of inflationary models excluded by the string swampland criteria, for various values of the two order unity parameters. Source: Kinney, Vagnozzi & Visinelli, Class. Quant. Grav. 36 (2019) 117001

Many string constructions make rather distinct predictions which can have important consequences for cosmology and astrophysics, and I have tried to constrain some of these in my research. For instance, I have looked at BH shadow tests of violations of the Kerr limit as well as several string-inspired space-times, probes of the string axiverse and the supersymmetry breaking scale from cosmological data, consequences of AdS vacua (i.e. a negative cosmological constant) for low-redshift observations and cosmological tensions, and observational implications of the string swampland (the space of naïvely consistent effective field theories inconsistent with a stringy UV completion).


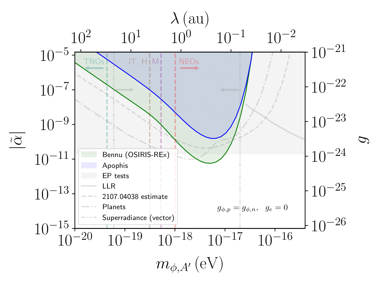
NOVEL TESTS OF FUNDAMENTAL PHYSICS

Limits on fifth forces mediated by new ultralight scalar or vector particles using data from the OSIRIS-REx mission. Source: Tsai et al., Commun. Phys. 7 (2024) 311

More generally, I am constantly on the lookout for new, creative ways to test various aspects of fundamental physics by making use of a wide variety of data collected from all corners of the Universe. Recent examples in this sense include some of my latest works using asteroidal data to place some of the tightest constraints on fifth forces which, among others, could be due to dark matter or dark energy.