Sono un cosmologo con una forte base in teoria delle particelle elementari. Lavoro all'interfaccia di cosmologia, astrofisica, e fisica delle particelle, per risolvere alcuni dei più grandi misteri universali: qual’è l’origine, la composizione e il destino dell'Universo? Lavoro per collegare teorie e osservazioni, e il mio lavoro quotidiano spazia dai calcoli al computer a quelli con carta e penna allo sporcarmi le mani con i dati (da misure cosmologiche alle ombre dei buchi neri a dati sul Sole). Questo continuo avanti e indietro fra dati esistenti, esperimenti futuri, e teoria, è il principale punto di forza della mia ricerca. Il mio obiettivo finale è smascherare l'identità dei settori oscuri dell'Universo e svelare i segreti della fisica fondamentale usando i dati raccolti dagli angoli più profondi e più bui dell'Universo. A causa della vastità intrinseca dei problemi che affronto, non è semplice stabilire dei contorni definiti ai miei argomenti di ricerca. Di seguito trovate una descrizione semi-tecnica dei miei principali argomenti di ricerca. Per ulteriori dettagli tecnici, visitate la sezione Pubblicazioni del mio sito.


cosmologia del neutrino

Distribuzioni di probabilità posteriori sulla somma delle masse dei neutrini da una combinazione di varie misure cosmologiche all'avanguardia di inizio 2017, comprese misure dello spettro di potenza delle galassie di BOSS DR12 e misure della radiazi…

Distribuzioni di probabilità posteriori sulla somma delle masse dei neutrini da una combinazione di varie misure cosmologiche all'avanguardia di inizio 2017, comprese misure dello spettro di potenza delle galassie di BOSS DR12 e misure della radiazione cosmica di fondo dai dati di Planck 2015. Fonte: Vagnozzi et al., Phys. Rev. D 96 (2017) 123503

Lavoro per determinare limiti più robusti sulla somma delle masse dei neutrini e la gerarchia di massa usando dati cosmologici all’avanguardia, sfruttando i segnali subdoli lasciati dalle masse dei neutrini sulle osservabili cosmologiche. I nostri limiti sulle masse dei neutrini favoriscono in maniera debole la gerarchia normale, e sono stati quotati nel Review of Particle Physics. Sono altresì impegnato ad esplorare nuove osservabili per studiare delle proprietà dei neutrini, obiettivi scientifici che si potrebbero perseguire da un rilevamento del fondo cosmico di neutrini, e l'interazione tra dati cosmologici e di laboratorio nello studio di neutrini standard e sterili.


materia oscura

L'accumulo di DM nella Terra tramite auto-interazioni può parzialmente schermare un rilevatore che si trova nell'emisfero Meridionale, causando un segnale apprezzabile di modulazione diurna nel tasso di eventi misurato da esperimenti di rilevamento …

L'accumulo di DM nella Terra tramite auto-interazioni può parzialmente schermare un rilevatore che si trova nell'emisfero Meridionale, causando un segnale apprezzabile di modulazione diurna nel tasso di eventi misurato da esperimenti di rilevamento diretto (nella figura questo segnale di modulazione diurna è mostrato per un rilevatore che si trova nella miniera di Stawell in Australia). Fonte: Foot & Vagnozzi, Phys. Lett. B 748 (2015) 61

Ho costruito nuovi modelli di materia oscura (DM) auto-interagente che fanno luce su alcuni problemi presenti nei modelli classici di DM fredda e non collisionale su scale piccole, e ho esaminato le segnature di tali modelli in osservabili astrofisiche e cosmologiche, nonché esperimenti di rilevamento diretto. Sono altresì interessato a come l'accumulo di DM dentro il Sole possa alterare il comportamento della nostra stella e risolvere alcuni problemi di fisica solare (come il problema della metallicità solare). In linea di principio la DM potrebbe essere una manifestazione di una teoria oltre la Relatività Generale: ho lavorato anche in questa direzione, in particolare nel contesto della cosiddetta gravità mimetica.


energia oscura

L’esperimento XENON1T ha rilevato l’energia oscura? Fonte: Vagnozzi et al., Phys. Rev. D 104 (2021) 063023

L’esperimento XENON1T ha rilevato l’energia oscura? Fonte: Vagnozzi et al., Phys. Rev. D 104 (2021) 063023, vincitore del Premio Buchalter per la Cosmologia 2021 (terzo premio)

Sono interessato alla ricerca di energia oscura (DE) fuori dai sentieri più battuti. Ciò mi ha portato a esplorare collegamenti fra la DE e la gerarchia di massa dei neutrini, studiare modi per cercare DE che interagisca con la materia ordinaria, ed esaminare la possibilità di studiare la DE usando onde gravitazionali o il segnale a 21 cm. Sono interessato a modelli con settori di DE più complessi (per esempio modelli dove la DM e la DE interagiscono) e come questi possano risolvere alcune delle tensioni cosmologiche persistenti. Ho anche investigato come la DE possa emergere in teorie oltre la Relatività Generale, ad esempio nella gravità mimetica, la gravità di Horndeski, o la gravità Hořava-Lifshitz. Infine, ho condotto le prime indagini sulla possibilità di rivelazione diretta della DE in esperimenti di rilevamento diretto della DM come XENON1T.


struttura a grande scala

L'impatto di un trattamento incorretto del bias delle galassie in presenza di neutrini massivi. Fonte: Vagnozzi et al., JCAP 1809 (2018) 001

L'impatto di un trattamento incorretto del bias delle galassie in presenza di neutrini massivi. Fonte: Vagnozzi et al., JCAP 1809 (2018) 001

Utilizzo il clustering della Struttura a Grande Scala (LSS) per studiare vari aspetti di fisica fondamentale, comprese le masse dei neutrini, reliquie leggere, l'energia oscura, e così via. Ho lavorato in particolare con le galassie della survey BOSS, e ho sviluppato vari codici per manipolare questi cataloghi (e in linea di principio qualsiasi catalogo LSS), accessibili pubblicamente su Github. L'uso dei dati di LSS richiede un trattamento attento di varie sistematiche, e ho investigato diverse di queste nella mia ricerca: in particolare, sistematiche collegate a una conoscenza o trattamento incompleto del bias delle galassie, in particolare in presenza di neutrini massivi.


radiazione cosmica di fondo

Test di consistenza del modello ΛCDM dall’ampiezza dell’effetto early ISW nella CMB. Fonte: Vagnozzi, Phys Rev. D 104 (2021) 063524

Uso dati di Radiazione Cosmica di Fondo (CMB), spesso in combinazione con dati di LSS, per studiare aspetti di fisica fondamentale quali le masse dei neutrini, modelli inflazionari, la materia oscura, l'energia oscura e possibili proprietà non-standard di quest'ultima, nuova fisica primordiale in relazione alla tensione di Hubble, test agnostici di nuova fisica, e così via. A parte combinare dati di CMB e LSS, faccio anche uso di correlazioni incrociate fra quest'ultime, le quali possono essere molto utili per ottenere una migliore comprensione di vari parameteri, tra i quali il bias delle galassie (e la sua dipendenza da scala).


tensioni cosmologiche

La tensione di Hubble potrebbe richiedere una miscela di nuova fisica a epoche primordiali e recenti, e su scale locali. Fonte: Vagnozzi, Universe 9 (2023) 393

Con l'aumento della precisione delle misure cosmologiche, accenni di tensioni tra dati ad alto e basso redshift cominciano ad apparire, comprese discrepanze nella tasso di espansione dell'Universo o nella crescita delle strutture a tempi recenti. Nella mia ricerca esploro se queste tensioni siano dovute a nuova fisica oltre il modello ΛCDM, o se queste siano solo un segno di sistematiche, e come misure future possano distinguere tra queste due possibilità.


gravitÀ modificata

Primi vincoli su un modello di gravità mimetica di ordine superiore, dall'osservazione dell'evento di onde gravitazionali multi-messenger GW170817. Fonte: Casalino, Rinaldi, Sebastiani & Vagnozzi, Class. Quant. Grav. 36 (2019) 017001

Primi vincoli su un modello di gravità mimetica di ordine superiore, dall'osservazione dell'evento di onde gravitazionali multi-messenger GW170817. Fonte: Casalino, Rinaldi, Sebastiani & Vagnozzi, Class. Quant. Grav. 36 (2019) 017001

Ho esplorato la possibilità che modificando la Relatività Generale si possa giungere a una spiegazione (possibilmente unificata) per la materia oscura, l'energia oscura, o l'inflazione cosmica. Mi sono incentrato su teorie con un extra grado di libertà scalare o che comportano violazioni dell'invarianza di Lorentz, come la gravità mimetica, la gravità di Horndeski, modelli f(R), o la gravità Hořava-Lifshitz. Ho altresì passato questi modelli al vaglio di dati cosmologici e astrofisici, compresi eventi di onde gravitazionali multi-messenger, il segnale a 21 cm, e le ombre dei buchi neri. Ho lavorato in maniera significativa sulla gravità mimetica, dove oltre a soluzioni cosmologiche ho studiato oggetti esotici quali cunicoli spazio-temporali (wormholes).


inflazione cosmica

NANOGrav potrebbe aver rilevato per la prima volta il fondo stocastico di onde gravitazionali generato dall’inflazione cosmica? Fonte: Vagnozzi, Mon. Not. Roy. Astron. Soc. Lett. 502 (2021) L11

NANOGrav potrebbe aver rilevato per la prima volta il fondo stocastico di onde gravitazionali generato dall’inflazione cosmica? Fonte: Vagnozzi, Mon. Not. Roy. Astron. Soc. Lett. 502 (2021) L11

Sono interessato all'inflazione cosmica sia dal punto di vista della modellistica (specialmente nel contesto di teorie di gravità modificata), sia delle osservazioni. Per esempio, ho studiato la possibilità che le assunzioni che vengono fatte riguardo i neutrini possano avere un effetto sulle conclusioni che ricaviamo sui parametri inflazionari (e quindi sul confronto di modelli inflazionari). Sono anche stato interessato all'impatto della cosiddetta palude delle stringhe, lo spazio delle teorie effettive che sono a prima vista consistenti, ma risultano essere inconsistenti con un completamento UV stringhesco, sulla costruzione di modelli inflazionari. Inoltre, ho esaminato la possibilità di studiare la fisica dell’inflazione cosmica utilizzando osservazioni di onde gravitazionali a frequenze diverse da quelle sondate dalla CMB.


onde gravitazionali

Un rilevamento del fondo stocastico di GW ad alta frequenza associato al fondo di gravitoni primordiali potrebbe escludere l’inflazione cosmica. Fonte: Vagnozzi & Loeb, Astrophys. J. Lett. 939 (2022) L22

Sono molto interessato a studiare come le onde gravitazionali (GW) ci possano aiutare a esplorare la fisica fondamentale, a vari livelli. Ho studiato come l'evento di GW multi-messenger GW170817 possa vincolare non solo teorie di gravità modificata, ma anche modelli con extra dimensioni spazio-temporali dove la gravità può sfuggire (per esempio il modello extra-dimensionale Randall-Sundrum di mondo-brana). Sono altresì interessato all'uso delle GWs come sirene standard per studiare l'espansione dell'Universo, e come queste possano migliorare i nostri vincoli sull'energia oscura e le sue possibili interazioni esotiche (come interazioni fra energia oscura e materia oscura). Ho altresì mostrato come un rilevamento del fondo stocastico di GW ad alta frequenza associato al fondo di gravitoni primordiali potrebbe escludere l’inflazione cosmica.


fisica dei buchi neri

Regimi di curvatura e potenziale gravitazionale testati da vari sistemi gravitazionali, tra i quali le ombre dei BH. Fonte: Vagnozzi et al., Class. Quant. Grav. 40 (2023) 165007

Il rilevamento dell'ombra di M87* dall'Event Horizon Telescope mi ha portato a interessarmi ad esaminare la possibilità che le ombre dei buchi neri (BH) possano essere usate per studiare aspetti di fisica fondamentale. Ho investigato se l'ombra di M87* possa essere usata per vincolare nuova fisica, per esempio violazioni del limite di Kerr (che occorrono nelle cosiddette superspinars), dimensioni extra spazio-temporali, correzioni non-lineari alla Lagrangiana della QED, “imitatori” di BH quali wormholes e singolarità nude, spazio-tempi stringheschi, e teorie di gravità modificata. Sono altresì impegnato a studiare se le ombre dei BH possano essere usate per testare l’esistenza di bosoni leggeri tramite il meccanismo della superradianza, o fare luce su soluzioni al paradosso dell'informazione.


test osservazionali della teoria delle stringhe

Regioni nello “zoo plot” ns-r di modelli inflazionari esclusi dai criteri della palude delle stringhe, per vari valori dei due parametri di ordine uno. Fonte: Kinney, Vagnozzi & Visinelli, Class. Quant. Grav. 36 (2019) 117001

Regioni nello “zoo plot” ns-r di modelli inflazionari esclusi dai criteri della palude delle stringhe, per vari valori dei due parametri di ordine uno. Fonte: Kinney, Vagnozzi & Visinelli, Class. Quant. Grav. 36 (2019) 117001

Diverse costruzioni stringhesche portano a predizioni distinte con conseguenze importanti per osservazioni cosmologiche e astrofisiche, e ho cercato di vincolare alcune di queste nella mia ricerca. Per esempio, ho studiato come usare le ombre di BH per testare violazioni del limite di Kerr e diversi spazio-tempi stringheschi, test dell'assiverso stringhesco e la scala di rottura della supersimmetria da dati cosmologici, conseguenze di un vuoto AdS (in altre parole una costante cosmologica negativa) per osservazioni a basso redshift e tensioni cosmologiche, e conseguenze osservazionali della palude delle stringhe (lo spazio delle teorie effettive che sono a prima vista auto-consistenti, ma inconsistenti con un completamento UV stringhesco).


NUOVI TEST DI FISICA FONDAMENTALE

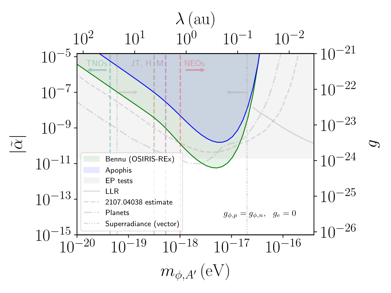
Limiti su quinte forze mediate da nuove particelle ultraleggere scalari o vettori usando dati dalla missione OSIRIS-REx. Fonte: Tsai et al., Commun. Phys. 7 (2024) 311

Più in generale, sono costantemente alla ricerca di modi nuovi e creativi per testare vari aspetti di fisica fondamentale utilizzando un’ampia varietà di dati raccolti da tutti gli angoli dell’Universo. Esempi recenti in questo senso includono alcuni dei miei ultimi lavori dove faccio uso di dati sugli asteroidi per dedurre alcuni dei limiti più stringenti su quinte forze le quali, tra le altre cose, potrebbero essere dovute alla materia oscura o all’energia oscura.