This week is a bit special, and I have been debating with myself for some time whether I should have talked about the XENON electronic recoil excess we all have heard about, reported in 2006.09721 (this inner debate is one of the reasons behind my delay). Ordinarily I would have done so, but this time I opted for no, simply because there is much better coverage on the XENON result out there than anything I could possibly produce (needless to say many other popular science articles on the XENON results are instead pure junk). Natalie Wolchover is probably one of my favorite scientific journalists (by far the best among the ones I have interacted with), so for those interested in an excellent coverage of the XENON result, I recommend her piece on Quanta Magazine. Having said that, I’ve devoted this week’s entry to a new measurement of H0 from the Baryonic Tully-Fisher relation, a new neutrino mass forecast for cosmology taking into account a very subtle effect on the galaxy bias, and a study of the shadows of rotating regular black holes.
#1 2006.08615: Using The Baryonic Tully-Fisher Relation to Measure H0 by James Schombert, Stacy McGaugh, and Federico Lelli
Many of you will probably have heard about the Tully-Fisher relation (TFR), an empirical relation which links the masses or intrinsic luminosities, and asymptotic rotation velocities (more precisely, HI linewidth, which is a proxy for the latter) for spiral galaxies. Since luminosities depend on distances but velocities don’t, the TFR can be used a distance indicator to, among the other things, measure the Hubble constant H0. In fact, already in the 70s, the TFR started indicating a value of H0 around 70 km/s/Mpc - I’ll suppress these units in the following. Now, the baryonic TFR (bTFR) is a similar empirical relation, but between baryonic mass of a spiral galaxy (stars plus gas) and the asymptotic rotational velocity of the latter. One could argue that the bTFR is more fundamental than the classical TFR, but the key and most important point is that the bTFR is tighter (i.e. less scattered) than the classical TFR, especially at low masses. The last twist is that, instead of relating the baryonic mass to the HI linewidth, one can use the mean velocity along the flat part of the rotation curve. As shown by Lelli et al. in 1901.05966, this tightens the bTFR even more. All the ingredients are now in place to produce a new and independent measurement of H0 (and possibly shed more light on the Hubble tension).
In this week’s paper, Schombert, McGaugh, and Lelli calibrate their tighter bTFR using 50 galaxies with Cepheid and/or Tip of the Red Giant Branch (TRGB) distance measurements, and then apply this calibrated bTFR to a total of 95 galaxies from the SPARC sample using CosmicFlows-3 velocities. One interesting and non-trivial consistency test of their methodology is that Cepheids and TRGB appear to give a consistent calibration of the bTFR (see the comparison between red and blue points in the bottom panel of Fig. 1), which is a good indication that there is no strong systematic mismatch between these two calibrators. The final result is a rather high value of H0=75.1±2.3±1.5. The central value is quite high, higher than the local value from Cepheid-calibrated Supernovae, but the error bar is also quite large (especially when taking systematics into account), so the tension with the inverse distance ladder measurement is somewhere between 2 and 3 sigma. Intriguingly, the future of the bTFR as a method to measure H0 seems very promising, both in terms of statistical and systematic errors, as the authors themselves argue in the final paragraph of the Conclusions. Overall, this was an interesting paper which only adds even more fuel to the idea that the Hubble tension is, at this point, something to take very seriously.
#2 2006.09395: Accurately Weighing Neutrinos with Cosmological Surveys by Weishuang Linda Xu et al.
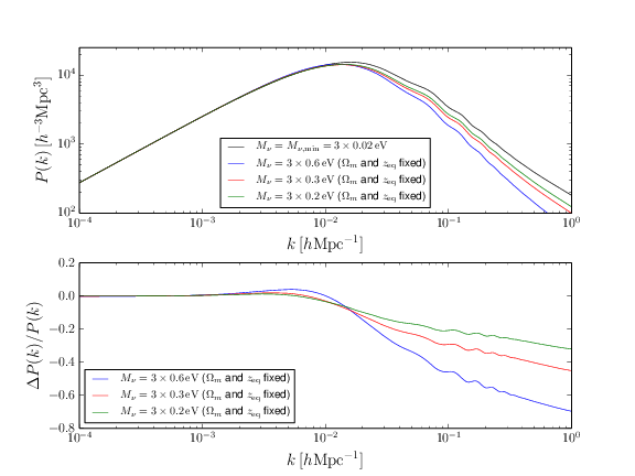
It is an exciting time to be working on neutrino cosmology since, under some mildly optimistic but not unrealistic assumptions, cosmological observations should be on the verge of measuring the sum of the neutrino masses Mnu. When thinking about the effect of Mnu on cosmological observations, most of us immediately think about the suppression of the matter power spectrum on small scales (you can see e.g. the bottom panel of this figure from my PhD thesis for the well-known characteristic step-like suppression), due to neutrino free-streaming. Therefore, accurate measurements of the matter power spectrum should help us nail down Mnu. Of course, with large-scale structure (LSS) surveys, we do not measure the matter power spectrum, but the power spectrum of the specific LSS tracer we have in mind - such as galaxies, to which I’ll stick from here on. In general, this means we measure a biased version of the matter power spectrum, where the ratio between the galaxy power spectrum and the matter power spectrum is the square of the bias factor. Heuristically speaking, the bias is a factor which accounts for how difficult it is to produce the type of galaxy in question. Galaxy formation is a threshold process (galaxies form when the overdensity field reaches a critical overdensity for collapse), meaning that galaxies will be more clustered than the underlying matter density field, with the bias capturing this extra clustering. From a simple cartoon picture it is easy to convince oneself that the higher the threshold for formation (i.e. the harder it is to form the tracer in question), the more clustered the tracer will be, and hence the higher the bias - in that picture, imagine raising that horizontal threshold, and the result would be that the black regions (would-be galaxies) would be even more clustered than the underlying wiggly function (the matter overdensity field).
On large scales, since everything is linear, one would expect that the bias is a nice and simple constant. This is mostly true, and is what people have assumed so far. Now, in the presence of massive neutrinos, this picture changes. First of all, there is a subtlety due to the definition of bias itself. Without getting too technical, in the presence of massive neutrinos one should better define the bias with respect to the cold dark matter (DM) plus baryons density field, rather than the total matter field (cold DM plus baryons plus massive neutrinos). This was first pointed out in 1311.1212 by Castorina et al., and its importance was shown in 1704.07837 by Raccanelli et al. and in 1807.04672 by myself and others, where we dubbed this effect neutrino-induced scale-dependent bias (NISDB), since a bad definition of the bias effectively amounts to a spurious scale-dependence in the bias on large scales. In all these papers, it was tacitly assumed that once the bias is defined in the proper way, it is now a nice constant on large scales. But this cannot be the full story, as this assumption is somehow neglecting the effect of the neutrino transfer function. Heuristically, if neutrinos suppress growth below some scale, they make it harder to form galaxies on those scales, and the heuristic bias picture I described previously (accounting for how difficult it is to produce the type of galaxy in question) should reflect this. In other words, even after defining it in the right way, the bias should have a scale-dependent feature, a bump which makes it increase below some scale/above some wavenumber. This very subtle feature was studied analytically by LoVerde in 1405.4855 and 1405.4858, and by Muñoz and Dvorkin (two of this week’s paper authors) in 1805.11623, and was finally seen for the first time in simulations by Chiang et al. in 1811.12412. Due to its origin, this week’s paper refers to this scale-dependent feature as growth-induced scale-dependent bias (GISDB).
So far, everyone had neglected the GISDB in their forecasts for neutrino mass detection in future surveys. The question then is: how much does neglecting the GISDB bias (no pun intended) our results? This is one of the questions Xu and collaborators address in this week’s paper. In a nutshell, they basically produce mock galaxy clustering data matching the expected sensitivity of two future surveys, DESI and Euclid, which they then analyze first including the GISDB and then neglecting it (they also study various other aspects of a future cosmological neutrino mass detection which I won’t comment on here due to lack of space). The results they find are very interesting. Since the GISDB appears on large scales, cosmic variance makes the data insensitive to the shape of the GISDB at a given redshift. However, the small-scale redshift-dependence of the GISDB actually turns out to be important, as neglecting it can lead to shifts of O(σ) in cosmological parameters (most notably the neutrino mass). In this sense, it is important to marginalize over the redshift dependence of the bias, which is something already advocated for in the Euclid science book, but not in the DESI one. In practice, I think the redshift dependence of both bias models as advocated in the respective science book is quite naïve, and when real data will come it is likely both collaborations will adopt a more sophisticated bias model in terms of redshift dependence. The rest of the paper also discusses prospects of distinguishing the two neutrino mass orderings in future data, which are as expected bleak (echoing the results of 2003.03354 which I summarized in my Week 11 post). Overall, I found this to be a beautiful and compelling paper showing the importance of correctly modelling a subtle effect which people had so far considered unimportant (or too small to worry about).
#3 2006.09869: Testing Rotating Regular Metrics as Candidates for Astrophysical Black Holes by Rahul Kumar, Amit Kumar, and Sushant Ghosh
In its essence, the Penrose-Hawking singularity theorem states that in General Relativity (GR), continuous gravitational collapse to a black hole (BH) appears to lead to the inevitable but somewhat undesirable existence of singularities. While these singularities should be naked (i.e. covered by event horizons) according to the cosmic censorship conjecture, many people remain unsatisfied and have been searching for so-called regular black hole (RBH) solutions, which are free from singularities. Many attempts at constructing RBH solutions have been conducted within so-called non-linear electrodynamics theories (where Maxwell’s Lagrangian is corrected by higher-order invariants in the electromagnetic fields), and often involve magnetic charges. For instance, with my colleagues Alireza Allahyari, Mohsen Khodadi, and David Mota, we studied the shadows of these types of RBHs in 1912.08231. In 2013, Cosimo Bambi and Leonardo Modesto found a family of rotating RBH solutions in 1302.6075, with line element given by Eq.(2) in this week’s paper. For those who work on BHs, this line element should be very familiar! It looks pretty much like the Kerr metric (i.e. a rotating uncharged BH), only with a formally radius-dependent mass, or mass function, m(r) - in fact, for a particular choice of m(r), one actually recovers the Kerr-Newman metric (i.e. a rotating charged BH). The Bambi-Modesto metric includes various rotating RBH solutions, such as the so-called Bardeen and Hayward RBHs, as well as what in this week’s paper is referred to as simply a “non-singular BH”. The question is then: in terms of the shadows these RBHs cast, can we distinguish them from the standard Kerr BH? Recall that the shadow of a BH is the closed curve on the sky separating capture orbits and scattering orbits.
In this week’s paper, Kumar and collaborators address this question. They focus on the three RBHs I mentioned above (Bardeen, Hayward, and non-singular), whose mass functions m(r) are given by Eqs.(23,24,25) respectively. All these mass functions contain a free parameter called g, which in most cases can be identified as a magnetic monopole charge, but can more generally be thought of as a continuous parameter characterizing the deviation from the Kerr metric, which is recovered when g=0. Then, they show that for sufficiently large g (but still smaller than M in appropriate units, with M the BH mass) the shadows of these RBHs can in principle be distinguished from that of a Kerr BH with the same mass, given current experimental uncertainties. In fact, they then study the shadow of M87* detected by the Event Horizon Telescope to set limits on g for the three RBHs, finding upper limits of about 0.3M, 0.7M, and 0.3M for the three cases. The method they follow is basically the one we first applied to M87* with Cosimo Bambi (yes the same Cosimo Bambi of the Bambi-Modesto metric), Katie Freese, and Luca Visinelli in 1904.12983, comparing the deviation from circularity and size of the observed shadow to the same quantities computed theoretically. The very interesting point this paper makes is that already with the current experimental sensitivity we can say something about proposed cures to the issue of singularities in GR (something we already to some extent pointed out in 1912.08231, where within two specific non-linear electrodynamics models we also found comparable limits on the magnetic monopole charge).
